为全面深化和推进研究生奖助学金评审工作,使其更加科学化、规范化和可操作, 根据《永利集团yl6809官网研究生奖助学金管理办法(试行)》(校发〔2014〕4号)文件要求,以及《永利集团yl6809官网研究生奖学金评审细则》,特制定本实施方案。
一、评审领导小组
学院成立奖助学金评审领导小组,全面负责研究生奖助学金评审领导工作。评审领导小组组成如下:
组 长:彭庆红
副组长:李晓光 段晓芳
组员:左鹏 马晓燕 张北根 刘文霞 杨彦强 鲁春霞 赵静
二、细则实施时间及对象
本评审细则于2014年9月1日起实行,适用于2014级全日制研究生。
三、申报基本条件
1. 研究生奖助学金获得者应具有中华人民共和国国籍,但由于出国、疾病等原因办理离校或休学手续和未按时完成学籍注册者,暂停发放其该期间奖助学金。申请延期答辩的,在延长学习期间不予评定研究生基本奖学金。
申请奖学金者还应具备以下基本条件:
1)热爱社会主义祖国,拥护中国共产党的领导;
2)遵守国家法律法规和学校各项规章制度;
3)诚实守信,品学兼优;
4)积极参加科学研究和社会实践。
2. 研究生存在下列情况之一,不得申请当年奖学金,已经获得的奖学金应停发:
1)违反校规校纪受到纪律处分;
2)有学术不端行为;
3)导师对其学业考核不合格。
四、评审程序
1.以“公平、公正、公开”为原则,学院按照“个人申请、综合评定、学院公示”程序组织评审;
2.学院组织成立评审工作组,成员由评审工作领导小组、各系所负责人、教师代表、学生代表组成,评委数不低于8人;
3.最终成绩由学位课程成绩(70%)、思想政治表现(30%)、科研申报材料附加分组成,最后根据综合成绩排名确定奖助学金发放名单;
4.申报材料必须属实,如有弄虚作假,一经查实,即取消个人申报资格,并给予相关责任人记过及以上处分。
5.导师对奖助学金的评定具有一票否决权,凡导师认为指导的研究生考核未合格,即取消其申请资格;
6. 拟获奖研究生名单应在学院范围内公示期内,由学院评审工作组接受并处理异议。公示无异议后由党政联席会讨论通过并上报学校评审领导小组。
五、奖助学金的设置及具体实施的评审细则
(一)基本助学金
基本助学金即为研究生国家助学金,由国家出资,用于补助研究生基本生活支出。博士研究生资助标准为每生每年1.2万元, 硕士研究生资助标准为每生每年0.6万元。在研究生学制年限内,由财务部门按月发放。 基本助学金覆盖所有学制范围内的硕士研究生和博士研究生,不单独组织评审答辩会。
(二)岗位奖学金
岗位奖学金 由研究生学业奖学金、博士研究生导师助研奖学金、博士研究生助教奖学金和研究生“三助”津贴四部分构成。
1. 研究生学业奖学金
由国家和学校共同出资,用于激励研究生勤奋学习,支持其顺利完成学业,具体奖学金资助标准和名额分配参见(表1),由学校财务部门每年分两次发放。
表1 研究生学业奖学金标准
研究生类别 | 年级 | 奖学金金额 | 获奖比例 | |
博士研究生 | 一年级 | 1.6 | ≤100% | |
二-四年级 | 1.8 | |||
五年级(仅限学士直攻博士研究生) | 1.8 | |||
硕士研究生 | 一年级 | 1.0 | ≤100% | |
二年级以上 | 一等 | 1.2 | 40% | |
二等 | 0.8 | 45% | ||
三等 | 0.2 | 15% | ||
博士生的学业奖学金由导师定期考核,考核合格,经学院奖学金评审工作组同意,报送学校。硕士奖学金,学院将按照学校下发名额以及奖学金评定比例要求,以二级学科专业为标准按比例分配(参见表2),二级学科的各奖项个数不能为零,一等奖学金比例不得超过50%。各个二级学科组织公开评审,并依据学业加权及科研成果等评审最终成绩。
表2:2014级硕士研究生学业奖学金名额分配表(2015年)
序号 | 专业 | 一等 | 二等 | 三等 | 合计 |
1 | 科学技术哲学 | 1 | 2 | 1 | 4 |
2 | 马克思主义基本原理及中国化 | 3 | 4 | 1 | 8 |
3 | 思想政治教育 | 8 | 7 | 1 | 16 |
12 | 13 | 3 | 28 | ||
具体评审实施细则如下:
(1)各个专业系所成立评审工作组,负责各自专业学生学业奖学金评审工作。
(2)按照学生思想政治表现、学位课加权平均成绩、科研情况等方面加权平均计算总成绩后,排名确定。计算公式为:学位课加权平均成绩(70%)+综合表现(30%)+科研论文和获奖附加分=总成绩。各部分成绩计算公式及方法如下:
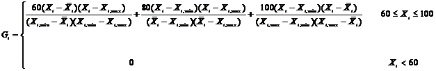
1)学业加权平均成绩GPA
①计算单科成绩的标准分
设修第i门课且成绩合格(≥60分)的本专业或本院学生中,最高、最低和平均成绩分别为
,
,
。若某生该门课的原始成绩为
,转换成标准分
为:

(a)原始成绩为
,
,
者,转换后的标准分为该门课程的最高分、最低分、平均分;
(b)如果某生第i门课获得免修资格,其该课成绩按最高分
计算。
②计算所有成绩的加权平均分GPA
设某生修了m门课,第i门课的标准分为
,该门课的规定学分为
,则该生的GPA为:

注:学位必修课每门成绩需达到60分以上,否则该门课程记为零分。记为加权成绩的学位必修课程以 “永利集团yl6809官网研究生奖助学金评审工作组”的认定为准。英语免修成绩依据按照80分进行计算。
2)综合表现包括:评审组评审成绩、学院综合评价,计算公式为:
思想政治表现成绩=评审组成绩 (70%)+学院综合评价(30%)
①导师评价:根据研究生的平时学习科研表现,导师按照百分制给所指导的研究生打分。
②评审组评审成绩:根据学生提交材料或现场答辩表现和日常学习生活表现,由评审工作组现场给参评的研究生打分。
③学院综合评价:由学院依据学生平时参加学院班级组织的各项学生活动情况,在学校学院担任学生干部以及承担的学生工作情况及参与学院日常值班工作等情况打分。
3)学术论文加分
学术论文加分在学位课加权平均成绩和综合表现成绩总分基础上以附加分的形式加分,具体加分标准为:以永利集团yl6809官网署名且为第一作者发表在CSSCI期刊的学术论文一篇计4分;中文核心期刊一篇计2分;普通期刊一篇计1分;增刊一篇计0.5分;论文收入国家级出版社正式出版的专著、论文集(教材)的一篇计1分,收入地方出版社正式出版的一篇计0.5分。
4)学术科研获奖
学术科研获奖加分仅限于在研究生学术科研领域取得的奖项,在学位课加权平均成绩和综合表现成绩总分基础上以附加分的形式加分,具体加分标准如表3所示。
表3:永利集团yl6809官网研究生学术科研获奖加分表
第一获奖人 | 第二获奖人 | 第三获奖人 | ||
国家级 | 直接评定为一等 | 9 | 6 | |
省部级 | 一等奖 | 9 | 6 | 3 |
二等奖 | 6 | 3 | 2 | |
三等奖 | 3 | 2 | 1 | |
校级 | 一等奖 | 2 | 1 | 0.8 |
二等奖 | 1 | 0.8 | 0.5 | |
三等奖 | 0.8 | 0.5 | 0.3 | |
院级 | 一等奖 | 0.5 | 0.3 | 0.2 |
二等奖 | 0.5 | 0.3 | 0.1 | |
三等奖 | 0.1 | 不计 | 不计 | |
(说明:同一奖项获不同奖励只按最高获奖级别计算一次)
5)学术论文及科研相应材料说明
①以上材料均为硕士或博士在读期间所获得成果,若所提交材料非在读期间获得,所有材料视为无效。
②提交论文材料时,检索类论文必须提供检索号,无检索号视为一般性论文;期刊性论文必须提供期刊原件及复印件,否则不予认可。
③以永利集团yl6809官网署名为第一作者,但学生为第二、第三作者发表的学术论文以实际贡献率赋分(以第一作者出具的证明以及“永利集团yl6809官网研究生奖学金评定委员会”的认定为准);
④以非永利集团yl6809官网署名为第一作者,学生为第二、第三作者发表的学术论文以实际贡献率赋分,但实际贡献率最高认定为50%(以第一作者出具的证明以及“永利集团yl6809官网研究生奖学金评定委员会”的认定为准)。
本细则最终解释权归永利集团yl6809官网所有。
永利集团yl6809官网
2015年7月14日
最新动态
地址:中国·北京·海淀区·学院路30号院
邮编:100083
电话:010-62334199